지능형 전파센서 및 무선 에너지 전송 원천기술 개발
Development of fundamental technology for intelligent radio sensor and wireless power transfer원문보기 내보내기 MyON담기
<img src='https://scienceon.kisti.re.kr/newUI/img/common/ico_social_facebook.png' alt='페이스북 공유' style='word-break: break-word; margin: 0px; padding: 0px; border-style: initial; font: inherit; vertical-align: baseline; box-sizing: border-box; max-width: 100%;'><img src='https://scienceon.kisti.re.kr/newUI/img/common/ico_social_x.png' alt='트위터 공유' style='word-break: break-word; margin: 0px; padding: 0px; border-style: initial; font: inherit; vertical-align: baseline; box-sizing: border-box; max-width: 100%;'><img src='https://scienceon.kisti.re.kr/newUI/img/common/ico_social_kakao.png' alt='카카오 공유' style='word-break: break-word; margin: 0px; padding: 0px; border-style: initial; font: inherit; vertical-align: baseline; box-sizing: border-box; max-width: 100%;'>주관연구기관한국전자통신연구원
Electronics and Telecommunications Research Institute연구책임자이호진참여연구자변우진 , 조인귀 , 정병장 , 송명선 , 윤재훈 , 장동원 , 김성민 , 문정익 , 이재우 , 황성현 , 김봉수 , 강규민 , 이홍열 , 김재훈 , 전순익 , 손수호 , 강현덕 , 정인철 , 김상원 , 김장열 , 이현준 , 유성진 , 김형주 , 최수나 , 박재철 , 이종혁 , 서지호 , 이수인 , 박경현 , 박정우 , 김현수 , 이동훈 , 이일민 , 문기원 , 이의수 , 박동우 , 최다혜 , 신준환 , 김무건 , 최경선 , 송기봉 , 신현순보고서유형최종보고서발행국가대한민국언어한국어발행년월2019-12과제시작연도2019주관부처과학기술정보통신부
Ministry of Science and ICT등록번호TRKO202000003424과제고유번호1711101650사업명한국전자통신연구원연구운영비지원(R&D)(주요사업비)DB 구축일자2020-05-16
초록 ▼

Ⅳ. 연구 결과
□ 지능형 차량용 전파 센서 기술
○ 레이다 신호처리 핵심 기술 개발 및 요구사항 정의
- 고해상도 영상을 획득하기 위해 불균일 가상안테나 배열과 iterative-FFT 알고리즘을 제안하여 거리 20m에서 약 38cm의 방위각 해상도 성능 가짐을 시뮬레이션을 통해 확인
- 디지털 OFDM 레이다를 위한 waveform/frame 구조 생성 및 수신 신호처리 기술 제안
- 딥러닝 기반 레이다 영상 분류 기술 기초 연구 및 실험 수행
- 신호처리 핵심기술 요구사항 및 알고리즘 검증용 하

Abstract ▼

Ⅳ. RESULTS
□ Radio sensor technology for intelligent vehicle
○ Research on advanced radar signal processing algorithms and requirements definition
- In order to obtain high resolution, a kind of non-uniform virtual array method and an iterative-FFT algorithm are proposed. which show that th

목차 Contents표지 ... 1제 출 문 ... 5요 약 문 ... 7ABSTRACT ... 12CONTENTS ... 16CONTENTS OF TABLE ... 18CONTENTS OF FIGURE ... 19목차 ... 24표목차 ... 26그림목차 ... 27제1장 과제개요 ... 31제 1절 연구 필요성 및 중요성 ... 311. 필요성 ... 312. 중요성 ... 31제 2 절 연구목표 및 내용 ... 321. 최종목표 ... 322. 연차별 연구목표 ... 323. 당해년도 연구내용 ... 35제 3절 보고서 체계 ... 36제2장 지능형 전파 영상센서 기술 ... 37제1절 MIMO 이미징 레이다 해상도 개선 알고리즘 ... 371. MIMO FMCW 레이다 기술 ... 372. 방위각 해상도 개선을 위한 알고리즘 연구 ... 393. 해상도 개선 알고리즘 검증 시험 ... 424. 방위각 해상도 개선을 위한 OAM 모드 발생 기술 ... 45제2절 디지털 OFDM 레이다 기술 분석 및 송수신 방식 연구 ... 471. 기존 아날로그 FMCW 레이다 개요 ... 472. OFDM 레이다 ... 483. CP-less OFDM 레이다 waveform 생성 및 수신 알고리즘 ... 53제3절 딥러닝 기반 레이다 영상 인식 알고리즘 기초 연구 ... 601. 딥러닝 기반 레이다 영상 인식 개념 ... 602. 딥러닝 기반 레이다 영상 인식 알고리즘 ... 61제3장 튜너블 테라헤르츠 트랜시버 기술 ... 70제1절 테라헤르츠 트랜시버 구성용 핵심 소자 및 모듈 기술 ... 701. 광대역 테라헤르츠파 발생 칩 및 모듈 기술 개발 ... 702. 광대역 테라헤르츠파 검출 소자 및 모듈 기술 개발 ... 72제2절 RTD 및 나노전극 검출기 원천기술 개발 ... 801. RTD (resonant tunneling diode) 설계 기술 개발 ... 802. 나노전극 기반 테라헤르츠파 검출기 원천기술 개발 ... 96제3절 테라헤르츠 파면제어 기초기술 연구 ... 981. 테라헤르츠 파면제어 원천기술 ... 982. 테라헤르츠 응용기술 개발 ... 107제4장 중거리 무선 에너지 전송 원천 기술 ... 116제1절 중거리 전송용 단일 코일 전자기공명(EMCR) 해석 ... 1161. 공진기 결합계수 및 중거리에서 웨이브 임피던스 변화량 해석 ... 1162. 송수신 공진기 주변에서 전자기장 변환 방법 연구 ... 1213. 공진구조에 따른 전송거리 분석 연구와 중거리 전송을 위한 공진기 모델 ... 123제 2 절 고효율 송수신 회로 설계 기술 개발 ... 1251. 낮은 결합계수 환경 무선전력전송 송수신 회로 설계 및 제작 ... 1252. 중거리 무선전력전송 통신 및 제어 회로 개발 ... 132제5장 연차 성과목표 달성도 ... 139제1절 기술개발 목표 및 성과 ... 139제2절 연구산출물 목표 및 성과 ... 140제6장 연구결과 활용정도 및 파급효과 ... 148제7장 중간점검 지적사항 개선실적 ... 151제8장 결론 ... 152참고문헌 ... 153약어 ... 155끝페이지 ... 157표/그림 (140)
모든 표/그림 보기

2 / 47
<img src='https://nrms.kisti.re.kr/bitextimages/TRKO202000003424/TRKO202000003424_150_image_1.png' title='다중 무선충전 시스템 개념도' alt='다중 무선충전 시스템 개념도' class='objectfit' style='word-break: break-word; margin: 0px; padding: 0px; border-style: initial; font: inherit; vertical-align: baseline; box-sizing: border-box; max-width: 100%; object-fit: cover; width: 149.155px;'>표다중 무선충전 시스템 개념도
<img src='https://nrms.kisti.re.kr/bitextimages/TRKO202000003424/TRKO202000003424_150_image_2.png' title='중거리 무선전력전송 미래 서비스' alt='중거리 무선전력전송 미래 서비스' class='objectfit' style='word-break: break-word; margin: 0px; padding: 0px; border-style: initial; font: inherit; vertical-align: baseline; box-sizing: border-box; max-width: 100%; object-fit: cover; width: 149.155px;'>표중거리 무선전력전송 미래 서비스

<img src='https://nrms.kisti.re.kr/bitextimages/TRKO202000003424/TRKO202000003424_37_image_1.png' title='MIMO FMCW 레이다 개념도' alt='MIMO FMCW 레이다 개념도' class='objectfit' style='word-break: break-word; margin: 0px; padding: 0px; border-style: initial; font: inherit; vertical-align: baseline; box-sizing: border-box; max-width: 100%; object-fit: cover; width: 149.155px;'>표MIMO FMCW 레이다 개념도
<img src='https://nrms.kisti.re.kr/bitextimages/TRKO202000003424/TRKO202000003424_39_image_1.png' title='반복적인 변환 기법을 이용한 방위각 획득 알고리즘' alt='반복적인 변환 기법을 이용한 방위각 획득 알고리즘' class='objectfit' style='word-break: break-word; margin: 0px; padding: 0px; border-style: initial; font: inherit; vertical-align: baseline; box-sizing: border-box; max-width: 100%; object-fit: cover; width: 149.155px;'>표반복적인 변환 기법을 이용한 방위각 획득 알고리즘
<img src='https://nrms.kisti.re.kr/bitextimages/TRKO202000003424/TRKO202000003424_40_image_1.png' title='균일 가상안테나를 이용한 방위각 성능 비교' alt='균일 가상안테나를 이용한 방위각 성능 비교' class='objectfit' style='word-break: break-word; margin: 0px; padding: 0px; border-style: initial; font: inherit; vertical-align: baseline; box-sizing: border-box; max-width: 100%; object-fit: cover; width: 149.155px;'>표균일 가상안테나를 이용한 방위각 성능 비교
<img src='https://nrms.kisti.re.kr/bitextimages/TRKO202000003424/TRKO202000003424_41_image_2.png' title='레이다 이미지 해상도 실험에 이용된 표적 모델과 가상안테나 배치' alt='레이다 이미지 해상도 실험에 이용된 표적 모델과 가상안테나 배치' class='objectfit' style='word-break: break-word; margin: 0px; padding: 0px; border-style: initial; font: inherit; vertical-align: baseline; box-sizing: border-box; max-width: 100%; object-fit: cover; width: 149.155px;'>표레이다 이미지 해상도 실험에 이용된 표적 모델과 가상안테나 배치
<img src='https://nrms.kisti.re.kr/bitextimages/TRKO202000003424/TRKO202000003424_42_image_1.png' title='레이다 이미지 해상도 시뮬레이션 결과' alt='레이다 이미지 해상도 시뮬레이션 결과' class='objectfit' style='word-break: break-word; margin: 0px; padding: 0px; border-style: initial; font: inherit; vertical-align: baseline; box-sizing: border-box; max-width: 100%; object-fit: cover; width: 149.155px;'>표레이다 이미지 해상도 시뮬레이션 결과
<img src='https://nrms.kisti.re.kr/bitextimages/TRKO202000003424/TRKO202000003424_42_image_2.png' title='표적 영상획득을 위한 레이다 측정 환경' alt='표적 영상획득을 위한 레이다 측정 환경' class='objectfit' style='word-break: break-word; margin: 0px; padding: 0px; border-style: initial; font: inherit; vertical-align: baseline; box-sizing: border-box; max-width: 100%; object-fit: cover; width: 149.155px;'>표표적 영상획득을 위한 레이다 측정 환경
<img src='https://nrms.kisti.re.kr/bitextimages/TRKO202000003424/TRKO202000003424_43_image_1.png' title='표적 영상획득을 위한 레이다 측정 환경 평면도' alt='표적 영상획득을 위한 레이다 측정 환경 평면도' class='objectfit' style='word-break: break-word; margin: 0px; padding: 0px; border-style: initial; font: inherit; vertical-align: baseline; box-sizing: border-box; max-width: 100%; object-fit: cover; width: 149.155px;'>표표적 영상획득을 위한 레이다 측정 환경 평면도
<img src='https://nrms.kisti.re.kr/bitextimages/TRKO202000003424/TRKO202000003424_43_image_2.png' title='실험에 이용된 가상안테나 좌표' alt='실험에 이용된 가상안테나 좌표' class='objectfit' style='word-break: break-word; margin: 0px; padding: 0px; border-style: initial; font: inherit; vertical-align: baseline; box-sizing: border-box; max-width: 100%; object-fit: cover; width: 149.155px;'>표실험에 이용된 가상안테나 좌표
<img src='https://nrms.kisti.re.kr/bitextimages/TRKO202000003424/TRKO202000003424_44_image_1.png' title='불균일 가상안테나를 이용한 레이다 이미지 획득 결과' alt='불균일 가상안테나를 이용한 레이다 이미지 획득 결과' class='objectfit' style='word-break: break-word; margin: 0px; padding: 0px; border-style: initial; font: inherit; vertical-align: baseline; box-sizing: border-box; max-width: 100%; object-fit: cover; width: 149.155px;'>표불균일 가상안테나를 이용한 레이다 이미지 획득 결과
<img src='https://nrms.kisti.re.kr/bitextimages/TRKO202000003424/TRKO202000003424_45_image_1.png' title='URA 구조를 활용한 제1번 OAM 모드(ι=+1)의 방위각 집속도 변화' alt='URA 구조를 활용한 제1번 OAM 모드(ι=+1)의 방위각 집속도 변화' class='objectfit' style='word-break: break-word; margin: 0px; padding: 0px; border-style: initial; font: inherit; vertical-align: baseline; box-sizing: border-box; max-width: 100%; object-fit: cover; width: 149.155px;'>표URA 구조를 활용한 제1번 OAM 모드(ι=+1)의 방위각 집속도 변화
<img src='https://nrms.kisti.re.kr/bitextimages/TRKO202000003424/TRKO202000003424_46_image_1.png' title='URA 가중치 조정에 대한 제5번 OAM 모드(ι=+5)의 근역장 위상 분포 비교' alt='URA 가중치 조정에 대한 제5번 OAM 모드(ι=+5)의 근역장 위상 분포 비교' class='objectfit' style='word-break: break-word; margin: 0px; padding: 0px; border-style: initial; font: inherit; vertical-align: baseline; box-sizing: border-box; max-width: 100%; object-fit: cover; width: 149.155px;'>표URA 가중치 조정에 대한 제5번 OAM 모드(ι=+5)의 근역장 위상 분포 비교
<img src='https://nrms.kisti.re.kr/bitextimages/TRKO202000003424/TRKO202000003424_47_image_1.png' title='FMCW 레이다 블록 다이어그램' alt='FMCW 레이다 블록 다이어그램' class='objectfit' style='word-break: break-word; margin: 0px; padding: 0px; border-style: initial; font: inherit; vertical-align: baseline; box-sizing: border-box; max-width: 100%; object-fit: cover; width: 149.155px;'>표FMCW 레이다 블록 다이어그램
<img src='https://nrms.kisti.re.kr/bitextimages/TRKO202000003424/TRKO202000003424_47_image_2.png' title='FMCW chirp sequence 구성 예' alt='FMCW chirp sequence 구성 예' class='objectfit' style='word-break: break-word; margin: 0px; padding: 0px; border-style: initial; font: inherit; vertical-align: baseline; box-sizing: border-box; max-width: 100%; object-fit: cover; width: 149.155px;'>표FMCW chirp sequence 구성 예
<img src='https://nrms.kisti.re.kr/bitextimages/TRKO202000003424/TRKO202000003424_48_image_1.png' title='레이다 waveform 시간 길이 관점 발전 동향' alt='레이다 waveform 시간 길이 관점 발전 동향' class='objectfit' style='word-break: break-word; margin: 0px; padding: 0px; border-style: initial; font: inherit; vertical-align: baseline; box-sizing: border-box; max-width: 100%; object-fit: cover; width: 149.155px;'>표레이다 waveform 시간 길이 관점 발전 동향
<img src='https://nrms.kisti.re.kr/bitextimages/TRKO202000003424/TRKO202000003424_49_image_1.png' title='OFDM 레이다 주요 기능 블록 다이어그램' alt='OFDM 레이다 주요 기능 블록 다이어그램' class='objectfit' style='word-break: break-word; margin: 0px; padding: 0px; border-style: initial; font: inherit; vertical-align: baseline; box-sizing: border-box; max-width: 100%; object-fit: cover; width: 149.155px;'>표OFDM 레이다 주요 기능 블록 다이어그램
<img src='https://nrms.kisti.re.kr/bitextimages/TRKO202000003424/TRKO202000003424_50_image_1.png' title='OFDM 송신 프레임 구조' alt='OFDM 송신 프레임 구조' class='objectfit' style='word-break: break-word; margin: 0px; padding: 0px; border-style: initial; font: inherit; vertical-align: baseline; box-sizing: border-box; max-width: 100%; object-fit: cover; width: 149.155px;'>표OFDM 송신 프레임 구조
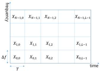
<img src='https://nrms.kisti.re.kr/bitextimages/TRKO202000003424/TRKO202000003424_51_image_1.png' title='OFDM 프레임의 시간 영역 구조' alt='OFDM 프레임의 시간 영역 구조' class='objectfit' style='word-break: break-word; margin: 0px; padding: 0px; border-style: initial; font: inherit; vertical-align: baseline; box-sizing: border-box; max-width: 100%; object-fit: cover; width: 149.155px;'>표OFDM 프레임의 시간 영역 구조
<img src='https://nrms.kisti.re.kr/bitextimages/TRKO202000003424/TRKO202000003424_52_image_1.png' title='range-velocity 2차원 채널 응답 예시' alt='range-velocity 2차원 채널 응답 예시' class='objectfit' style='word-break: break-word; margin: 0px; padding: 0px; border-style: initial; font: inherit; vertical-align: baseline; box-sizing: border-box; max-width: 100%; object-fit: cover; width: 149.155px;'>표range-velocity 2차원 채널 응답 예시
<img src='https://nrms.kisti.re.kr/bitextimages/TRKO202000003424/TRKO202000003424_53_table_1.png' title='OFDM 및 FMCW 주요 지표 비교' alt='OFDM 및 FMCW 주요 지표 비교' class='objectfit' style='word-break: break-word; margin: 0px; padding: 0px; border-style: initial; font: inherit; vertical-align: baseline; box-sizing: border-box; max-width: 100%; object-fit: cover; width: 149.155px;'>표OFDM 및 FMCW 주요 지표 비교
<img src='https://nrms.kisti.re.kr/bitextimages/TRKO202000003424/TRKO202000003424_54_image_1.png' title='CP-less OFDM 송신 프레임 구조' alt='CP-less OFDM 송신 프레임 구조' class='objectfit' style='word-break: break-word; margin: 0px; padding: 0px; border-style: initial; font: inherit; vertical-align: baseline; box-sizing: border-box; max-width: 100%; object-fit: cover; width: 149.155px;'>표CP-less OFDM 송신 프레임 구조
<img src='https://nrms.kisti.re.kr/bitextimages/TRKO202000003424/TRKO202000003424_54_image_2.png' title='CP-less OFDM 레이다 송수신 블록 다이어그램' alt='CP-less OFDM 레이다 송수신 블록 다이어그램' class='objectfit' style='word-break: break-word; margin: 0px; padding: 0px; border-style: initial; font: inherit; vertical-align: baseline; box-sizing: border-box; max-width: 100%; object-fit: cover; width: 149.155px;'>표CP-less OFDM 레이다 송수신 블록 다이어그램
<img src='https://nrms.kisti.re.kr/bitextimages/TRKO202000003424/TRKO202000003424_56_image_1.png' title='수신단 FFT를 위한 windowing 예시 개념도' alt='수신단 FFT를 위한 windowing 예시 개념도' class='objectfit' style='word-break: break-word; margin: 0px; padding: 0px; border-style: initial; font: inherit; vertical-align: baseline; box-sizing: border-box; max-width: 100%; object-fit: cover; width: 149.155px;'>표수신단 FFT를 위한 windowing 예시 개념도
<img src='https://nrms.kisti.re.kr/bitextimages/TRKO202000003424/TRKO202000003424_57_image_1.png' title='OFDM 프레임 송수신 시 발생하는 수신단 심볼 간 간섭현상' alt='OFDM 프레임 송수신 시 발생하는 수신단 심볼 간 간섭현상' class='objectfit' style='word-break: break-word; margin: 0px; padding: 0px; border-style: initial; font: inherit; vertical-align: baseline; box-sizing: border-box; max-width: 100%; object-fit: cover; width: 149.155px;'>표OFDM 프레임 송수신 시 발생하는 수신단 심볼 간 간섭현상
<img src='https://nrms.kisti.re.kr/bitextimages/TRKO202000003424/TRKO202000003424_58_image_1.png' title='OFDM 전송 프레임의 시간적 길이 비교: (a) CP가 있는 OFDM, (b) CP가 없는 OFDM' alt='OFDM 전송 프레임의 시간적 길이 비교: (a) CP가 있는 OFDM, (b) CP가 없는 OFDM' class='objectfit' style='word-break: break-word; margin: 0px; padding: 0px; border-style: initial; font: inherit; vertical-align: baseline; box-sizing: border-box; max-width: 100%; object-fit: cover; width: 149.155px;'>표OFDM 전송 프레임의 시간적 길이 비교: (a) CP가 있는 OFDM, (b) CP가 없는 OFDM
<img src='https://nrms.kisti.re.kr/bitextimages/TRKO202000003424/TRKO202000003424_58_table_2.png' title='Range-Velocity 성능 확인을 위한 시뮬레이션 파라미터 설정' alt='Range-Velocity 성능 확인을 위한 시뮬레이션 파라미터 설정' class='objectfit' style='word-break: break-word; margin: 0px; padding: 0px; border-style: initial; font: inherit; vertical-align: baseline; box-sizing: border-box; max-width: 100%; object-fit: cover; width: 149.155px;'>표Range-Velocity 성능 확인을 위한 시뮬레이션 파라미터 설정
<img src='https://nrms.kisti.re.kr/bitextimages/TRKO202000003424/TRKO202000003424_59_image_1.png' title='CP-less OFDM 레이다 방식을 적용한 거리-속도 추정 결과' alt='CP-less OFDM 레이다 방식을 적용한 거리-속도 추정 결과' class='objectfit' style='word-break: break-word; margin: 0px; padding: 0px; border-style: initial; font: inherit; vertical-align: baseline; box-sizing: border-box; max-width: 100%; object-fit: cover; width: 149.155px;'>표CP-less OFDM 레이다 방식을 적용한 거리-속도 추정 결과
<img src='https://nrms.kisti.re.kr/bitextimages/TRKO202000003424/TRKO202000003424_61_image_1.png' title='딥러닝 기반 레이다 영상 인식을 위한 측정 실험' alt='딥러닝 기반 레이다 영상 인식을 위한 측정 실험' class='objectfit' style='word-break: break-word; margin: 0px; padding: 0px; border-style: initial; font: inherit; vertical-align: baseline; box-sizing: border-box; max-width: 100%; object-fit: cover; width: 149.155px;'>표딥러닝 기반 레이다 영상 인식을 위한 측정 실험
<img src='https://nrms.kisti.re.kr/bitextimages/TRKO202000003424/TRKO202000003424_62_image_1.png' title='레이다 신호처리 결과: 거리' alt='레이다 신호처리 결과: 거리' class='objectfit' style='word-break: break-word; margin: 0px; padding: 0px; border-style: initial; font: inherit; vertical-align: baseline; box-sizing: border-box; max-width: 100%; object-fit: cover; width: 149.155px;'>표레이다 신호처리 결과: 거리
<img src='https://nrms.kisti.re.kr/bitextimages/TRKO202000003424/TRKO202000003424_62_image_2.png' title='레이다 신호처리 결과: 정면맵 (Range-Angle Map)' alt='레이다 신호처리 결과: 정면맵 (Range-Angle Map)' class='objectfit' style='word-break: break-word; margin: 0px; padding: 0px; border-style: initial; font: inherit; vertical-align: baseline; box-sizing: border-box; max-width: 100%; object-fit: cover; width: 149.155px;'>표레이다 신호처리 결과: 정면맵 (Range-Angle Map)
<img src='https://nrms.kisti.re.kr/bitextimages/TRKO202000003424/TRKO202000003424_62_image_3.png' title='레이다 신호처리 결과: 평면맵 (Range-Angle Map)' alt='레이다 신호처리 결과: 평면맵 (Range-Angle Map)' class='objectfit' style='word-break: break-word; margin: 0px; padding: 0px; border-style: initial; font: inherit; vertical-align: baseline; box-sizing: border-box; max-width: 100%; object-fit: cover; width: 149.155px;'>표레이다 신호처리 결과: 평면맵 (Range-Angle Map)
<img src='https://nrms.kisti.re.kr/bitextimages/TRKO202000003424/TRKO202000003424_63_image_1.png' title='레이다 영상 정규화' alt='레이다 영상 정규화' class='objectfit' style='word-break: break-word; margin: 0px; padding: 0px; border-style: initial; font: inherit; vertical-align: baseline; box-sizing: border-box; max-width: 100%; object-fit: cover; width: 149.155px;'>표레이다 영상 정규화
<img src='https://nrms.kisti.re.kr/bitextimages/TRKO202000003424/TRKO202000003424_63_image_2.png' title='Transfer Learning' alt='Transfer Learning' class='objectfit' style='word-break: break-word; margin: 0px; padding: 0px; border-style: initial; font: inherit; vertical-align: baseline; box-sizing: border-box; max-width: 100%; object-fit: cover; width: 149.155px;'>표Transfer Learning
<img src='https://nrms.kisti.re.kr/bitextimages/TRKO202000003424/TRKO202000003424_64_image_1.png' title='Transfer Learning(Xception) 학습결과' alt='Transfer Learning(Xception) 학습결과' class='objectfit' style='word-break: break-word; margin: 0px; padding: 0px; border-style: initial; font: inherit; vertical-align: baseline; box-sizing: border-box; max-width: 100%; object-fit: cover; width: 149.155px;'>표Transfer Learning(Xception) 학습결과
<img src='https://nrms.kisti.re.kr/bitextimages/TRKO202000003424/TRKO202000003424_64_image_2.png' title='Xception 재학습결과' alt='Xception 재학습결과' class='objectfit' style='word-break: break-word; margin: 0px; padding: 0px; border-style: initial; font: inherit; vertical-align: baseline; box-sizing: border-box; max-width: 100%; object-fit: cover; width: 149.155px;'>표Xception 재학습결과
<img src='https://nrms.kisti.re.kr/bitextimages/TRKO202000003424/TRKO202000003424_65_image_1.png' title='Transfer Learning(MobileNet) 학습결과' alt='Transfer Learning(MobileNet) 학습결과' class='objectfit' style='word-break: break-word; margin: 0px; padding: 0px; border-style: initial; font: inherit; vertical-align: baseline; box-sizing: border-box; max-width: 100%; object-fit: cover; width: 149.155px;'>표Transfer Learning(MobileNet) 학습결과
<img src='https://nrms.kisti.re.kr/bitextimages/TRKO202000003424/TRKO202000003424_65_image_2.png' title='MobileNet 재학습결과' alt='MobileNet 재학습결과' class='objectfit' style='word-break: break-word; margin: 0px; padding: 0px; border-style: initial; font: inherit; vertical-align: baseline; box-sizing: border-box; max-width: 100%; object-fit: cover; width: 149.155px;'>표MobileNet 재학습결과
<img src='https://nrms.kisti.re.kr/bitextimages/TRKO202000003424/TRKO202000003424_66_image_1.png' title='Custom CNN 구조' alt='Custom CNN 구조' class='objectfit' style='word-break: break-word; margin: 0px; padding: 0px; border-style: initial; font: inherit; vertical-align: baseline; box-sizing: border-box; max-width: 100%; object-fit: cover; width: 149.155px;'>표Custom CNN 구조
<img src='https://nrms.kisti.re.kr/bitextimages/TRKO202000003424/TRKO202000003424_66_image_2.png' title='Custom CNN 학습결과' alt='Custom CNN 학습결과' class='objectfit' style='word-break: break-word; margin: 0px; padding: 0px; border-style: initial; font: inherit; vertical-align: baseline; box-sizing: border-box; max-width: 100%; object-fit: cover; width: 149.155px;'>표Custom CNN 학습결과
<img src='https://nrms.kisti.re.kr/bitextimages/TRKO202000003424/TRKO202000003424_67_image_1.png' title='자세 분류 실험' alt='자세 분류 실험' class='objectfit' style='word-break: break-word; margin: 0px; padding: 0px; border-style: initial; font: inherit; vertical-align: baseline; box-sizing: border-box; max-width: 100%; object-fit: cover; width: 149.155px;'>표자세 분류 실험
<img src='https://nrms.kisti.re.kr/bitextimages/TRKO202000003424/TRKO202000003424_68_image_1.png' title='Range-Doppler Map 측정 실험' alt='Range-Doppler Map 측정 실험' class='objectfit' style='word-break: break-word; margin: 0px; padding: 0px; border-style: initial; font: inherit; vertical-align: baseline; box-sizing: border-box; max-width: 100%; object-fit: cover; width: 149.155px;'>표Range-Doppler Map 측정 실험
<img src='https://nrms.kisti.re.kr/bitextimages/TRKO202000003424/TRKO202000003424_68_image_2.png' title='물체별 Range-Doppler Map' alt='물체별 Range-Doppler Map' class='objectfit' style='word-break: break-word; margin: 0px; padding: 0px; border-style: initial; font: inherit; vertical-align: baseline; box-sizing: border-box; max-width: 100%; object-fit: cover; width: 149.155px;'>표물체별 Range-Doppler Map
<img src='https://nrms.kisti.re.kr/bitextimages/TRKO202000003424/TRKO202000003424_69_image_1.png' title='Range-Doppler Map 분류를 위한 CNN 네트워크 구조' alt='Range-Doppler Map 분류를 위한 CNN 네트워크 구조' class='objectfit' style='word-break: break-word; margin: 0px; padding: 0px; border-style: initial; font: inherit; vertical-align: baseline; box-sizing: border-box; max-width: 100%; object-fit: cover; width: 149.155px;'>표Range-Doppler Map 분류를 위한 CNN 네트워크 구조
<img src='https://nrms.kisti.re.kr/bitextimages/TRKO202000003424/TRKO202000003424_69_image_2.png' title='CNN을 이용한 Range-Doppler Map 분류 결과' alt='CNN을 이용한 Range-Doppler Map 분류 결과' class='objectfit' style='word-break: break-word; margin: 0px; padding: 0px; border-style: initial; font: inherit; vertical-align: baseline; box-sizing: border-box; max-width: 100%; object-fit: cover; width: 149.155px;'>표CNN을 이용한 Range-Doppler Map 분류 결과
<img src='https://nrms.kisti.re.kr/bitextimages/TRKO202000003424/TRKO202000003424_70_image_1.png' title='설계된 UTC-PD 에피 구조와 공정과정 및 완료된 칩 사진' alt='설계된 UTC-PD 에피 구조와 공정과정 및 완료된 칩 사진' class='objectfit' style='word-break: break-word; margin: 0px; padding: 0px; border-style: initial; font: inherit; vertical-align: baseline; box-sizing: border-box; max-width: 100%; object-fit: cover; width: 149.155px;'>표설계된 UTC-PD 에피 구조와 공정과정 및 완료된 칩 사진
<img src='https://nrms.kisti.re.kr/bitextimages/TRKO202000003424/TRKO202000003424_71_image_1.png' title='공정 완료된 UTC-PD 칩의 모듈화 및 특성 분석 데이터' alt='공정 완료된 UTC-PD 칩의 모듈화 및 특성 분석 데이터' class='objectfit' style='word-break: break-word; margin: 0px; padding: 0px; border-style: initial; font: inherit; vertical-align: baseline; box-sizing: border-box; max-width: 100%; object-fit: cover; width: 149.155px;'>표공정 완료된 UTC-PD 칩의 모듈화 및 특성 분석 데이터
<img src='https://nrms.kisti.re.kr/bitextimages/TRKO202000003424/TRKO202000003424_71_image_2.png' title='UTC-PD 출력 파워 측정 셋업 및 측정값' alt='UTC-PD 출력 파워 측정 셋업 및 측정값' class='objectfit' style='word-break: break-word; margin: 0px; padding: 0px; border-style: initial; font: inherit; vertical-align: baseline; box-sizing: border-box; max-width: 100%; object-fit: cover; width: 149.155px;'>표UTC-PD 출력 파워 측정 셋업 및 측정값
<img src='https://nrms.kisti.re.kr/bitextimages/TRKO202000003424/TRKO202000003424_72_image_1.png' title='테라헤르츠 밀폐형 검출 모듈 (a) 개발 완료된 비밀폐형 검출 모듈 (b) 개발중인 밀폐형 검출 모듈 모식도 (c) 밀폐형 모듈 구성 요소 (d) 제작된 밀폐형 검출 모듈' alt='테라헤르츠 밀폐형 검출 모듈 (a) 개발 완료된 비밀폐형 검출 모듈 (b) 개발중인 밀폐형 검출 모듈 모식도 (c) 밀폐형 모듈 구성 요소 (d) 제작된 밀폐형 검출 모듈' class='objectfit' style='word-break: break-word; margin: 0px; padding: 0px; border-style: initial; font: inherit; vertical-align: baseline; box-sizing: border-box; max-width: 100%; object-fit: cover; width: 149.155px;'>표테라헤르츠 밀폐형 검출 모듈 (a) 개발 완료된 비밀폐형 검출 모듈 (b) 개발중인 밀폐형 검출 모듈 모식도 (c) 밀폐형 모듈 구성 요소 (d) 제작된 밀폐형 검출 모듈
<img src='https://nrms.kisti.re.kr/bitextimages/TRKO202000003424/TRKO202000003424_73_image_1.png' title='SBD 전류-전압 특성 (a) 패키지 공정 전 SBD 전류-전압 특성 (b) 패키지 공정 후 SBD 전류-전압 특성' alt='SBD 전류-전압 특성 (a) 패키지 공정 전 SBD 전류-전압 특성 (b) 패키지 공정 후 SBD 전류-전압 특성' class='objectfit' style='word-break: break-word; margin: 0px; padding: 0px; border-style: initial; font: inherit; vertical-align: baseline; box-sizing: border-box; max-width: 100%; object-fit: cover; width: 149.155px;'>표SBD 전류-전압 특성 (a) 패키지 공정 전 SBD 전류-전압 특성 (b) 패키지 공정 후 SBD 전류-전압 특성
<img src='https://nrms.kisti.re.kr/bitextimages/TRKO202000003424/TRKO202000003424_73_image_2.png' title='(a) 패키지 모듈 전류-전압 특성 (b) THz 대역 검출 특성' alt='(a) 패키지 모듈 전류-전압 특성 (b) THz 대역 검출 특성' class='objectfit' style='word-break: break-word; margin: 0px; padding: 0px; border-style: initial; font: inherit; vertical-align: baseline; box-sizing: border-box; max-width: 100%; object-fit: cover; width: 149.155px;'>표(a) 패키지 모듈 전류-전압 특성 (b) THz 대역 검출 특성
<img src='https://nrms.kisti.re.kr/bitextimages/TRKO202000003424/TRKO202000003424_75_image_157.png' title='InGaAs SBD 박막구조 (a)InP(1E18 cm-3), (b)InP(1E19 cm-3), (c)schottky layer 100 nm/InP(1E19 cm-3), (d)InGaAsP(1E19 cm-3)' alt='InGaAs SBD 박막구조 (a)InP(1E18 cm-3), (b)InP(1E19 cm-3), (c)schottky layer 100 nm/InP(1E19 cm-3), (d)InGaAsP(1E19 cm-3)' class='objectfit' style='word-break: break-word; margin: 0px; padding: 0px; border-style: initial; font: inherit; vertical-align: baseline; box-sizing: border-box; max-width: 100%; object-fit: cover; width: 149.155px;'>표InGaAs SBD 박막구조 (a)InP(1E18 cm-3), (b)InP(1E19 cm-3), (c)schottky layer 100 nm/InP(1E19 cm-3), (d)InGaAsP(1E19 cm-3)
<img src='https://nrms.kisti.re.kr/bitextimages/TRKO202000003424/TRKO202000003424_75_image_1.png' title='샘플 a의 (a)THz 검출신호, (b)differential resistance와 (c) I-V curve' alt='샘플 a의 (a)THz 검출신호, (b)differential resistance와 (c) I-V curve' class='objectfit' style='word-break: break-word; margin: 0px; padding: 0px; border-style: initial; font: inherit; vertical-align: baseline; box-sizing: border-box; max-width: 100%; object-fit: cover; width: 149.155px;'>표샘플 a의 (a)THz 검출신호, (b)differential resistance와 (c) I-V curve
<img src='https://nrms.kisti.re.kr/bitextimages/TRKO202000003424/TRKO202000003424_76_image_1.png' title='샘플 a, b, c, d의 IV curve' alt='샘플 a, b, c, d의 IV curve' class='objectfit' style='word-break: break-word; margin: 0px; padding: 0px; border-style: initial; font: inherit; vertical-align: baseline; box-sizing: border-box; max-width: 100%; object-fit: cover; width: 149.155px;'>표샘플 a, b, c, d의 IV curve
<img src='https://nrms.kisti.re.kr/bitextimages/TRKO202000003424/TRKO202000003424_77_image_1.png' title='Horn 모듈용 (a)SBD 소자 SEM이미지와 (b)하우징 현미경 사진' alt='Horn 모듈용 (a)SBD 소자 SEM이미지와 (b)하우징 현미경 사진' class='objectfit' style='word-break: break-word; margin: 0px; padding: 0px; border-style: initial; font: inherit; vertical-align: baseline; box-sizing: border-box; max-width: 100%; object-fit: cover; width: 149.155px;'>표Horn 모듈용 (a)SBD 소자 SEM이미지와 (b)하우징 현미경 사진
<img src='https://nrms.kisti.re.kr/bitextimages/TRKO202000003424/TRKO202000003424_77_image_2.png' title='주파수별 power dependence responsivity' alt='주파수별 power dependence responsivity' class='objectfit' style='word-break: break-word; margin: 0px; padding: 0px; border-style: initial; font: inherit; vertical-align: baseline; box-sizing: border-box; max-width: 100%; object-fit: cover; width: 149.155px;'>표주파수별 power dependence responsivity
<img src='https://nrms.kisti.re.kr/bitextimages/TRKO202000003424/TRKO202000003424_78_image_1.png' title='(a)노이즈 측정 셋업 모식도 (b)실제 측정 셋업' alt='(a)노이즈 측정 셋업 모식도 (b)실제 측정 셋업' class='objectfit' style='word-break: break-word; margin: 0px; padding: 0px; border-style: initial; font: inherit; vertical-align: baseline; box-sizing: border-box; max-width: 100%; object-fit: cover; width: 149.155px;'>표(a)노이즈 측정 셋업 모식도 (b)실제 측정 셋업
<img src='https://nrms.kisti.re.kr/bitextimages/TRKO202000003424/TRKO202000003424_78_image_2.png' title='(a)노이즈 검증 테스트 측정 (b)SBD voltage noise PSD' alt='(a)노이즈 검증 테스트 측정 (b)SBD voltage noise PSD' class='objectfit' style='word-break: break-word; margin: 0px; padding: 0px; border-style: initial; font: inherit; vertical-align: baseline; box-sizing: border-box; max-width: 100%; object-fit: cover; width: 149.155px;'>표(a)노이즈 검증 테스트 측정 (b)SBD voltage noise PSD
<img src='https://nrms.kisti.re.kr/bitextimages/TRKO202000003424/TRKO202000003424_79_image_1.png' title='(a)제작된 충격 낙하 시험용 테스트 지그 (b) 열충격 테스트 챔버 (c)낙하 충격 테스트 (d)진동 테스트 장비' alt='(a)제작된 충격 낙하 시험용 테스트 지그 (b) 열충격 테스트 챔버 (c)낙하 충격 테스트 (d)진동 테스트 장비' class='objectfit' style='word-break: break-word; margin: 0px; padding: 0px; border-style: initial; font: inherit; vertical-align: baseline; box-sizing: border-box; max-width: 100%; object-fit: cover; width: 149.155px;'>표(a)제작된 충격 낙하 시험용 테스트 지그 (b) 열충격 테스트 챔버 (c)낙하 충격 테스트 (d)진동 테스트 장비
<img src='https://nrms.kisti.re.kr/bitextimages/TRKO202000003424/TRKO202000003424_79_table_2.png' title='측정 예정인 신뢰성 시험 규격 및 항목' alt='측정 예정인 신뢰성 시험 규격 및 항목' class='objectfit' style='word-break: break-word; margin: 0px; padding: 0px; border-style: initial; font: inherit; vertical-align: baseline; box-sizing: border-box; max-width: 100%; object-fit: cover; width: 149.155px;'>표측정 예정인 신뢰성 시험 규격 및 항목
<img src='https://nrms.kisti.re.kr/bitextimages/TRKO202000003424/TRKO202000003424_80_image_1.png' title='(좌) RTD 소자의 바이어스별 전도밴드 구조 (우) RTD 소자의 I-V 곡선' alt='(좌) RTD 소자의 바이어스별 전도밴드 구조 (우) RTD 소자의 I-V 곡선' class='objectfit' style='word-break: break-word; margin: 0px; padding: 0px; border-style: initial; font: inherit; vertical-align: baseline; box-sizing: border-box; max-width: 100%; object-fit: cover; width: 149.155px;'>표(좌) RTD 소자의 바이어스별 전도밴드 구조 (우) RTD 소자의 I-V 곡선
<img src='https://nrms.kisti.re.kr/bitextimages/TRKO202000003424/TRKO202000003424_81_table_1.png' title='RTD 에피 구조의 주요 성능 지표' alt='RTD 에피 구조의 주요 성능 지표' class='objectfit' style='word-break: break-word; margin: 0px; padding: 0px; border-style: initial; font: inherit; vertical-align: baseline; box-sizing: border-box; max-width: 100%; object-fit: cover; width: 149.155px;'>표RTD 에피 구조의 주요 성능 지표
<img src='https://nrms.kisti.re.kr/bitextimages/TRKO202000003424/TRKO202000003424_81_table_2.png' title='RTD 에피 설계 결과' alt='RTD 에피 설계 결과' class='objectfit' style='word-break: break-word; margin: 0px; padding: 0px; border-style: initial; font: inherit; vertical-align: baseline; box-sizing: border-box; max-width: 100%; object-fit: cover; width: 149.155px;'>표RTD 에피 설계 결과
<img src='https://nrms.kisti.re.kr/bitextimages/TRKO202000003424/TRKO202000003424_83_image_1.png' title='(좌) XRD 측정 결과 (우) 확대그림. 적색선: Simulation 결과' alt='(좌) XRD 측정 결과 (우) 확대그림. 적색선: Simulation 결과' class='objectfit' style='word-break: break-word; margin: 0px; padding: 0px; border-style: initial; font: inherit; vertical-align: baseline; box-sizing: border-box; max-width: 100%; object-fit: cover; width: 149.155px;'>표(좌) XRD 측정 결과 (우) 확대그림. 적색선: Simulation 결과
<img src='https://nrms.kisti.re.kr/bitextimages/TRKO202000003424/TRKO202000003424_83_table_2.png' title='XRD Curve Fitting 결과' alt='XRD Curve Fitting 결과' class='objectfit' style='word-break: break-word; margin: 0px; padding: 0px; border-style: initial; font: inherit; vertical-align: baseline; box-sizing: border-box; max-width: 100%; object-fit: cover; width: 149.155px;'>표XRD Curve Fitting 결과
<img src='https://nrms.kisti.re.kr/bitextimages/TRKO202000003424/TRKO202000003424_84_image_1.png' title='RTD Epi Wafer 구조 분석 (전체)' alt='RTD Epi Wafer 구조 분석 (전체)' class='objectfit' style='word-break: break-word; margin: 0px; padding: 0px; border-style: initial; font: inherit; vertical-align: baseline; box-sizing: border-box; max-width: 100%; object-fit: cover; width: 149.155px;'>표RTD Epi Wafer 구조 분석 (전체)
<img src='https://nrms.kisti.re.kr/bitextimages/TRKO202000003424/TRKO202000003424_84_image_2.png' title='RTD Epi Wafer 구조 분석 (Critical Layers)' alt='RTD Epi Wafer 구조 분석 (Critical Layers)' class='objectfit' style='word-break: break-word; margin: 0px; padding: 0px; border-style: initial; font: inherit; vertical-align: baseline; box-sizing: border-box; max-width: 100%; object-fit: cover; width: 149.155px;'>표RTD Epi Wafer 구조 분석 (Critical Layers)
<img src='https://nrms.kisti.re.kr/bitextimages/TRKO202000003424/TRKO202000003424_85_image_1.png' title='RTD 공진 구조 등가 회로' alt='RTD 공진 구조 등가 회로' class='objectfit' style='word-break: break-word; margin: 0px; padding: 0px; border-style: initial; font: inherit; vertical-align: baseline; box-sizing: border-box; max-width: 100%; object-fit: cover; width: 149.155px;'>표RTD 공진 구조 등가 회로
<img src='https://nrms.kisti.re.kr/bitextimages/TRKO202000003424/TRKO202000003424_85_table_2.png' title='RTD 설계 파라미터' alt='RTD 설계 파라미터' class='objectfit' style='word-break: break-word; margin: 0px; padding: 0px; border-style: initial; font: inherit; vertical-align: baseline; box-sizing: border-box; max-width: 100%; object-fit: cover; width: 149.155px;'>표RTD 설계 파라미터
<img src='https://nrms.kisti.re.kr/bitextimages/TRKO202000003424/TRKO202000003424_86_table_1.png' title='RTD 주요 설계 파라미터' alt='RTD 주요 설계 파라미터' class='objectfit' style='word-break: break-word; margin: 0px; padding: 0px; border-style: initial; font: inherit; vertical-align: baseline; box-sizing: border-box; max-width: 100%; object-fit: cover; width: 149.155px;'>표RTD 주요 설계 파라미터
<img src='https://nrms.kisti.re.kr/bitextimages/TRKO202000003424/TRKO202000003424_86_image_2.png' title='RTD 소자 구조도' alt='RTD 소자 구조도' class='objectfit' style='word-break: break-word; margin: 0px; padding: 0px; border-style: initial; font: inherit; vertical-align: baseline; box-sizing: border-box; max-width: 100%; object-fit: cover; width: 149.155px;'>표RTD 소자 구조도
<img src='https://nrms.kisti.re.kr/bitextimages/TRKO202000003424/TRKO202000003424_87_image_1.png' title='RTD mesa 평면도 (좌) 및 단면도 (우)' alt='RTD mesa 평면도 (좌) 및 단면도 (우)' class='objectfit' style='word-break: break-word; margin: 0px; padding: 0px; border-style: initial; font: inherit; vertical-align: baseline; box-sizing: border-box; max-width: 100%; object-fit: cover; width: 149.155px;'>표RTD mesa 평면도 (좌) 및 단면도 (우)
<img src='https://nrms.kisti.re.kr/bitextimages/TRKO202000003424/TRKO202000003424_87_image_2.png' title='전송선로 특성 (Nagatsuma et. al., IEEE TST 6 (5), pp. 716-723, 2016)' alt='전송선로 특성 (Nagatsuma et. al., IEEE TST 6 (5), pp. 716-723, 2016)' class='objectfit' style='word-break: break-word; margin: 0px; padding: 0px; border-style: initial; font: inherit; vertical-align: baseline; box-sizing: border-box; max-width: 100%; object-fit: cover; width: 149.155px;'>표전송선로 특성 (Nagatsuma et. al., IEEE TST 6 (5), pp. 716-723, 2016)
<img src='https://nrms.kisti.re.kr/bitextimages/TRKO202000003424/TRKO202000003424_88_table_1.png' title='RTD 설계 반영 파라미터' alt='RTD 설계 반영 파라미터' class='objectfit' style='word-break: break-word; margin: 0px; padding: 0px; border-style: initial; font: inherit; vertical-align: baseline; box-sizing: border-box; max-width: 100%; object-fit: cover; width: 149.155px;'>표RTD 설계 반영 파라미터
<img src='https://nrms.kisti.re.kr/bitextimages/TRKO202000003424/TRKO202000003424_88_image_2.png' title='메사 길이에 따른 공진 선로 길이에 따른 공명 주파수' alt='메사 길이에 따른 공진 선로 길이에 따른 공명 주파수' class='objectfit' style='word-break: break-word; margin: 0px; padding: 0px; border-style: initial; font: inherit; vertical-align: baseline; box-sizing: border-box; max-width: 100%; object-fit: cover; width: 149.155px;'>표메사 길이에 따른 공진 선로 길이에 따른 공명 주파수
<img src='https://nrms.kisti.re.kr/bitextimages/TRKO202000003424/TRKO202000003424_89_image_1.png' title='공진 주파수별 최대 예상 출력 계산 결과' alt='공진 주파수별 최대 예상 출력 계산 결과' class='objectfit' style='word-break: break-word; margin: 0px; padding: 0px; border-style: initial; font: inherit; vertical-align: baseline; box-sizing: border-box; max-width: 100%; object-fit: cover; width: 149.155px;'>표공진 주파수별 최대 예상 출력 계산 결과
<img src='https://nrms.kisti.re.kr/bitextimages/TRKO202000003424/TRKO202000003424_89_table_2.png' title='RTD 소자 설계 결과' alt='RTD 소자 설계 결과' class='objectfit' style='word-break: break-word; margin: 0px; padding: 0px; border-style: initial; font: inherit; vertical-align: baseline; box-sizing: border-box; max-width: 100%; object-fit: cover; width: 149.155px;'>표RTD 소자 설계 결과
<img src='https://nrms.kisti.re.kr/bitextimages/TRKO202000003424/TRKO202000003424_90_image_1.png' title='RTD 소자 단면도 및 마스크 그림 (안테나 및 전극 제외)' alt='RTD 소자 단면도 및 마스크 그림 (안테나 및 전극 제외)' class='objectfit' style='word-break: break-word; margin: 0px; padding: 0px; border-style: initial; font: inherit; vertical-align: baseline; box-sizing: border-box; max-width: 100%; object-fit: cover; width: 149.155px;'>표RTD 소자 단면도 및 마스크 그림 (안테나 및 전극 제외)
<img src='https://nrms.kisti.re.kr/bitextimages/TRKO202000003424/TRKO202000003424_90_image_2.png' title='RTD 소자 공정 개략도' alt='RTD 소자 공정 개략도' class='objectfit' style='word-break: break-word; margin: 0px; padding: 0px; border-style: initial; font: inherit; vertical-align: baseline; box-sizing: border-box; max-width: 100%; object-fit: cover; width: 149.155px;'>표RTD 소자 공정 개략도
<img src='https://nrms.kisti.re.kr/bitextimages/TRKO202000003424/TRKO202000003424_91_image_1.png' title='RTD 소자부 형성 후 현미경 사진' alt='RTD 소자부 형성 후 현미경 사진' class='objectfit' style='word-break: break-word; margin: 0px; padding: 0px; border-style: initial; font: inherit; vertical-align: baseline; box-sizing: border-box; max-width: 100%; object-fit: cover; width: 149.155px;'>표RTD 소자부 형성 후 현미경 사진
<img src='https://nrms.kisti.re.kr/bitextimages/TRKO202000003424/TRKO202000003424_92_image_1.png' title='(좌측 위) RTD 소자 공정 사진 (우측 위) 소자부 확대도 (좌측 아래) 테스트 소자 그림 (우측 아래) 테스트 패턴 그림' alt='(좌측 위) RTD 소자 공정 사진 (우측 위) 소자부 확대도 (좌측 아래) 테스트 소자 그림 (우측 아래) 테스트 패턴 그림' class='objectfit' style='word-break: break-word; margin: 0px; padding: 0px; border-style: initial; font: inherit; vertical-align: baseline; box-sizing: border-box; max-width: 100%; object-fit: cover; width: 149.155px;'>표(좌측 위) RTD 소자 공정 사진 (우측 위) 소자부 확대도 (좌측 아래) 테스트 소자 그림 (우측 아래) 테스트 패턴 그림
<img src='https://nrms.kisti.re.kr/bitextimages/TRKO202000003424/TRKO202000003424_93_image_1.png' title='RTD 및 나노전극 소자 측정 셋업 (구축 중)' alt='RTD 및 나노전극 소자 측정 셋업 (구축 중)' class='objectfit' style='word-break: break-word; margin: 0px; padding: 0px; border-style: initial; font: inherit; vertical-align: baseline; box-sizing: border-box; max-width: 100%; object-fit: cover; width: 149.155px;'>표RTD 및 나노전극 소자 측정 셋업 (구축 중)
<img src='https://nrms.kisti.re.kr/bitextimages/TRKO202000003424/TRKO202000003424_93_table_2.png' title='TLM 측정 결과' alt='TLM 측정 결과' class='objectfit' style='word-break: break-word; margin: 0px; padding: 0px; border-style: initial; font: inherit; vertical-align: baseline; box-sizing: border-box; max-width: 100%; object-fit: cover; width: 149.155px;'>표TLM 측정 결과
<img src='https://nrms.kisti.re.kr/bitextimages/TRKO202000003424/TRKO202000003424_94_image_1.png' title='제작된 RTD 소자의 I-V 특성' alt='제작된 RTD 소자의 I-V 특성' class='objectfit' style='word-break: break-word; margin: 0px; padding: 0px; border-style: initial; font: inherit; vertical-align: baseline; box-sizing: border-box; max-width: 100%; object-fit: cover; width: 149.155px;'>표제작된 RTD 소자의 I-V 특성
<img src='https://nrms.kisti.re.kr/bitextimages/TRKO202000003424/TRKO202000003424_94_image_2.png' title='Shunt Resistance 측정 결과 (실선은 기울기가 1인 선)' alt='Shunt Resistance 측정 결과 (실선은 기울기가 1인 선)' class='objectfit' style='word-break: break-word; margin: 0px; padding: 0px; border-style: initial; font: inherit; vertical-align: baseline; box-sizing: border-box; max-width: 100%; object-fit: cover; width: 149.155px;'>표Shunt Resistance 측정 결과 (실선은 기울기가 1인 선)
<img src='https://nrms.kisti.re.kr/bitextimages/TRKO202000003424/TRKO202000003424_95_image_1.png' title='Wafer 1의 주요 에피 파라미터 정리 (메사 크기별)' alt='Wafer 1의 주요 에피 파라미터 정리 (메사 크기별)' class='objectfit' style='word-break: break-word; margin: 0px; padding: 0px; border-style: initial; font: inherit; vertical-align: baseline; box-sizing: border-box; max-width: 100%; object-fit: cover; width: 149.155px;'>표Wafer 1의 주요 에피 파라미터 정리 (메사 크기별)
<img src='https://nrms.kisti.re.kr/bitextimages/TRKO202000003424/TRKO202000003424_95_image_2.png' title='Wafer 3의 주요 에피 파라미터 정리 (메사 크기별)' alt='Wafer 3의 주요 에피 파라미터 정리 (메사 크기별)' class='objectfit' style='word-break: break-word; margin: 0px; padding: 0px; border-style: initial; font: inherit; vertical-align: baseline; box-sizing: border-box; max-width: 100%; object-fit: cover; width: 149.155px;'>표Wafer 3의 주요 에피 파라미터 정리 (메사 크기별)
<img src='https://nrms.kisti.re.kr/bitextimages/TRKO202000003424/TRKO202000003424_96_image_1.png' title='나노전극 THz 정류 소자 공정 사진 (Scale bar: 500 nm) (좌) 및 측정 결과 (우)' alt='나노전극 THz 정류 소자 공정 사진 (Scale bar: 500 nm) (좌) 및 측정 결과 (우)' class='objectfit' style='word-break: break-word; margin: 0px; padding: 0px; border-style: initial; font: inherit; vertical-align: baseline; box-sizing: border-box; max-width: 100%; object-fit: cover; width: 149.155px;'>표나노전극 THz 정류 소자 공정 사진 (Scale bar: 500 nm) (좌) 및 측정 결과 (우)
<img src='https://nrms.kisti.re.kr/bitextimages/TRKO202000003424/TRKO202000003424_97_image_1.png' title='나노전극 정류 소자 설계 안' alt='나노전극 정류 소자 설계 안' class='objectfit' style='word-break: break-word; margin: 0px; padding: 0px; border-style: initial; font: inherit; vertical-align: baseline; box-sizing: border-box; max-width: 100%; object-fit: cover; width: 149.155px;'>표나노전극 정류 소자 설계 안
<img src='https://nrms.kisti.re.kr/bitextimages/TRKO202000003424/TRKO202000003424_98_image_1.png' title='나노 정류 소자의 위치별 Band diagram 및 Carrier Density' alt='나노 정류 소자의 위치별 Band diagram 및 Carrier Density' class='objectfit' style='word-break: break-word; margin: 0px; padding: 0px; border-style: initial; font: inherit; vertical-align: baseline; box-sizing: border-box; max-width: 100%; object-fit: cover; width: 149.155px;'>표나노 정류 소자의 위치별 Band diagram 및 Carrier Density
<img src='https://nrms.kisti.re.kr/bitextimages/TRKO202000003424/TRKO202000003424_99_image_1.png' title='5G 모바일 터미널을 위한 28GHz 안테나 어레이 구성 및 4G 표준과의 비교' alt='5G 모바일 터미널을 위한 28GHz 안테나 어레이 구성 및 4G 표준과의 비교' class='objectfit' style='word-break: break-word; margin: 0px; padding: 0px; border-style: initial; font: inherit; vertical-align: baseline; box-sizing: border-box; max-width: 100%; object-fit: cover; width: 149.155px;'>표5G 모바일 터미널을 위한 28GHz 안테나 어레이 구성 및 4G 표준과의 비교
<img src='