[서론]
어떤 집단을 조사하려고 할 때, 집단의 크기(원소의 개수)가 커서(많아서) 그 집단에 속해 있는 모든 원소를 조사하기가 현실적으로 힘든 경우, 우리는 그 집단으로부터 원소를 일부만 추출하고, 그 일부분의 원소만으로 원래 집단(모든 원소의 분포)을(를) 추정합니다.
여기서 추정하려고 하는 원래 집단을 모집단(population)이라 하고, 그 모집단으로부터 일부만을 추출하여 얻은 원소들을 표본(sample)이라고 하며 이 표본들의 집단을 표본집단이라고 합니다.
모집단에 원소가 1, 3, 5 이렇게 3개가 있다고 합시다. (계산 편의상 모집단의 크기를 작게 놓았습니다.)
그리고 이 모집단에서 2개의 표본만을 추출했다고 합시다.(즉 n=2)
그리고 각각 1과 3인 2개의 표본이 뽑혔다고 합시다.
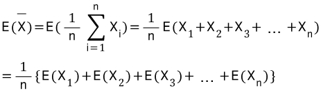
그렇다면 이 때 표본평균
은 2가 됩니다.
은 2가 됩니다.이번엔 다시 뽑아보도록 하겠습니다.(복원추출)
이번엔 1과 5가 뽑혔다고 합시다.
이 때 표본평균은 3이 됩니다.
또 다시 뽑아보도록 하겠습니다.
이번엔 3과 5가 뽑혔다고 합시다.
이 때 표본평균은 4가 됩니다.
또 다시 뽑아보도록 하겠습니다.
이번엔 처음과 같은 1과 3이 뽑혔다고 합시다.
...
이렇게 무한대로 반복하다보면
구해질 수 있는 표본평균은 오직 2, 3, 4뿐입니다.
이번엔 표본을 무한대로 다시 뽑는 경우를 생각해 보기 이전에
표본을 다시 뽑는 횟수를 2번만 했다고 합시다.(복원추출)
이때 나올 수 있는 표본평균의 경우는
(2, 2), (2, 3), (2, 4), (3, 3), (3, 4), (4, 4) 이렇게 6가지가 있습니다
(2, 2)인 경우에 표본평균의 평균
은 2이고
은 2이고(2, 3)인 경우에 표본평균의 평균은 2.5이고
(2, 4)인 경우에 표본평균의 평균은 3이고
(3, 3)인 경우에 표본평균의 평균은 3이고
(3, 4)인 경우에 표본평균의 평균은 3.5이고
(4, 4)인 경우에 표본평균의 평균은 4입니다.
즉 2번 뽑았을 때 표본평균의 평균은 여러 값을 갖지만
3이 가장 많고 나머지는 대칭을 이루게 됩니다.
이런 식으로 무한번 뽑게 되면 표본평균의 평균은 여러 값이 가능하지만
확률적으로 3이 가장 많이 나오게 됩니다.
(마치 동전을 1000번 던졌다고 했을때 앞면이 300번 뒷면이 700번나올 수도-대칭으로 앞면이 700번 뒷면이 300번이 나오는 경우도-있지만, 확률적으로 앞면이 500번 뒷면이 500번나오게될 가능성이 더 높은것과 같은이치입니다.)
(즉 시행횟수를 늘리면, 중심극한정리에의하여 정규분표곡선을 그리게 됩니다.)
즉, [표본평균의 평균]의 극한은 모평균에 수렴하게 됩니다.
<주의. n을 시행횟수로 착각하면 안 됩니다. 여기서 n은 표본의 크기(즉, 모집단으로부터 뽑은 표본의 개수)를 의미하고 이 n은 변수가 아니라 일정한 수(상수) 입니다. 다만 n개를 뽑았는데 1번 뽑고, 복원추출로 다시 한번 또 뽑고, 반복하여 무한번 뽑는 경우를 생각하는 중입니다. 이렇게하는 이유는 표본평균의 평균을 구하기 위해서 입니다. n개를 1번뽑으면 표본평균은 그 때의 1가지 값밖에 갖지 않습니다. 다른 표본평균의 값도 구해야 여러 표본평균들의 평균을 구할 수가 있으므로 시행횟수를 여러번 하여 표본평균을 여러번 구합니다. 그 여러번 구한 표본평균들이 평균이
인데 여러번 여러번 시행횟수를 계속 늘려 무한히 뽑게 되면
의 극한값은 확률적으로 모평균의 값에 수렴하게 됩니다.>
인데 여러번 여러번 시행횟수를 계속 늘려 무한히 뽑게 되면
의 극한값은 확률적으로 모평균의 값에 수렴하게 됩니다.>즉 모평균을 m이라 하고 표본을 뽑는 시행횟수를 k라 했을때,
이 성립합니다.다른 관점(그래도 비슷하지만 좀 더 자세한-구체적인-관점)에서 보도록 하겠습니다.

여기 까지 구하는데 아무런 문제가 없습니다
하지만 이제 각각의
값들을 어떻게 구하는지가 문제입니다.
값들을 어떻게 구하는지가 문제입니다.(여기서 갑자기 n이 2인데 i=3인 경우가 어떻게 있을 수 있냐고 생각하실 수 있는데, 계산 편의상 모집단 개수를 3개로 하고 표본의 개수를 2개로 한 것 뿐입니다, 일반화 시키기 위해선 위의 공식처럼 쓰는게 맞죠. 모집단 개수가 10000개이고 표본의개수가 100개인 경우도 충분히 있을 수 있으니까요.)
어쨌든 일단 먼저
의 경우를 보도록 합시다.
의 경우를 보도록 합시다.처음에 얘기했던 모집단에서 표본의 크기(표본의 개수)를 2로 하고 모집단으로부터 표본을 4번(시행횟수) 뽑았다고 합시다.
만약에 이때 뽑힌 표본의 쌍이 각각 (1, 3), (1, 3), (3, 5), (3, 5)가 나왔다고 합시다.
(여기서 어떻게 (1, 3)이 2번 나오고 (3, 5)가 2번 나오는지 이해가 안되시면 안됩니다. 복원추출이니까요 다시 새로뽑는거니까 똑같은 표본이 뽑힐 수도 있잖아요)
여기서 표본 순서쌍을
라고 한다면,
라고 한다면,
은 각각 1, 1, 3, 3으로써
가 됩니다.하지만 표본 순서쌍을 반드시크기대로 해야만 하는 것은 아닙니다.
무슨 말이냐면 반드시
이어야만 하는건 아니라는 겁니다.
이어야만 하는건 아니라는 겁니다.표본 순서쌍을
라고 했을 때
라고 했을 때크기의 순서를 의미한 것이 아니라
그저 표본을 뽑을때 순서대로 나열한 것에 번호를 붙인 것 뿐입니다.
즉, (1, 3)의 의미는 표본을 2개 뽑을 때 처음에 1이 나오고 두번째에 3이 나왔다는 뜻으로 받아들이면 됩니다.
즉 처음에 3이 나오고 두번째에 1이 나오는 (3, 1)경우도 있을 수가 있습니다. 다음의 경우를 보도록 합시다.
이번엔 시행횟수를 더 늘려봅시다.
시행횟수를 300번했다고 합시다.
그렇다면 표본의 쌍 중에서
(1, 3)이 100번
(3, 5)가 100번
(5, 1)이 100번 나왔다고 합시다.
이 때,
이 되어 모평균과 같아 집니다.
이 되어 모평균과 같아 집니다.물론 시행횟수를 300번 했을 때 반드시
(1, 3)이 100번
(3, 5)가 100번
(5, 1)이 100번 나온다고 할 수만은 없습니다.
만약에
(1, 3)이 50번
(3, 5)가 100번
(5, 1)이 150번 나왔다고 한다면,
값은 3이 되지 않으므로 모평균과 같아지지 않습니다.
값은 3이 되지 않으므로 모평균과 같아지지 않습니다.하지만 위에서도 잠깐 언급했듯이
마치 동전을 1000번 던질때 (앞면, 뒷면)이 (300, 700)로 나올 수도 있긴 하겠지만
확률적으로 (500, 500) 균등하게 나올 가능성이 있다고 한 것과 같은 이치입니다.
즉, 동전을 2k번 던지면 확률적으로 앞면이 k번, 뒷면이 k번 나오게 됩니다. 물론 꼭 그런건아닙니다 앞면이 k-1번 뒷면이 k+1번 나올 수도 있습니다. 하지만 확률을 얘기하는 거니까요. 앞면이 나올 확률과 뒷면이 나올 확률은 1/2로 같으므로 균등하게 각각 k번씩 나온다고 볼 수 있습니다.
마찬가지로 시행횟수를 6k번 했을때 (각각 모집단에서 표본이 추출될 확률은 같다고 보므로-독립사건)
순서쌍을 (첫번째로나온값, 두번째로나온값)으로 정했을 때
확률적으로
(1, 3)이 k번
(3, 1)이 k번
(1, 5)가 k번
(5, 1)이 k번
(3, 5)가 k번
(5, 3)이 k번 나오게 될 가능성이 높습니다(물론 극단적인확률로 (1, 3)만 6k번나오고 나머지경우의수는 안나올수도있지만 이런 확률은 정말 낮습니다. 이건 마치 동전을 6k번 던졌는데 앞면만 6k번 나올 확률처럼 거의 불가능에 가까운 확률입니다.)
따라서 이 때
이 되어 모평균과 같아집니다
이 되어 모평균과 같아집니다독립사건의 독립시행횟수를 늘리면 그 분포는정규분포에 가까워집니다
무슨 말이냐면, 시행횟수가 적을 땐 정규분포에 가깝지 않습니다.
예를들어 동전을 3번던지면 연속으로 앞면 3번 다 나올 가능성이 그래도 좀 꽤 있긴 합니다.
그런데 시행횟수를 늘려보면, 즉 동전을 300번던지면 연속으로 앞면 300번 다 나올 가능성은 정말 희박해집니다
오히려 앞면150번 뒷면150번이 될 확률이 높아집니다.
즉 시행횟수를 늘려야 우리가 구하고자하는 확률극한값에 수렴하게 됩니다.
마찬가지로 시행횟수를 6k한다고 했을때 k가 1이라면
시행횟수는 6번한것이고
그때
(1, 3)이 1번
(3, 1)이 1번
(1, 5)가 1번
(5, 1)이 1번
(3, 5)가 1번
(5, 3)이 1번이 나오기 보단
(1, 3)이 2번
(3, 1)이 0번
(1, 5)가 0번
(5, 1)이 2번
(3, 5)가 0번
(5, 3)이 2번이 나오게 될 가능성도 은근히 있습니다.
이땐
값은 3이 되지 않습니다. 즉 모평균과 같지 않습니다.
값은 3이 되지 않습니다. 즉 모평균과 같지 않습니다.결국 모평균의 값에 수렴하게 만드려면
시행횟수를 늘려야 확률적으로 각각의 순서쌍들이 6k중 동등한 k씩을 나눠가지게 될테므로
시행횟수를 무한히 늘려야 합니다.
따라서, 모평균을 m이라 하고 시행횟수를 k라 할 때,
이 됩니다.그리고 이건
일 때 뿐만 아니라
에서도 마찬가지로 성립하므로
일 때 뿐만 아니라
에서도 마찬가지로 성립하므로
으로 일반화시킬수 있습니다.따라서

이 성립합니다.
따라서 우리가 모평균을 추정하려고 한다면
[표본평균의 평균]의 극한값을 구하면 모평균을 추정할 수가 있습니다.
(사실 이건 이론적인 방법일 뿐이고 실제론 비현실적입니다. [표본평균의 평균]의 극한값을 구하려면 위해서 말했듯이 시행횟수를 무한대로 보내야 합니다. 현실에서 언제까지 모집단으로부터 무한번 표본을 추출해내겠습니까. 실제론 1번만 추출을 한 후 신뢰구간을 이용한 모평균 추정을 합니다. 여기서 신뢰구간까지 진도를 더 나가지는 않겠습니다. 원래 글의 목적이 '모분산을 추정할 때 n-1로 나눠주어야 하는 이유'이므로 다음으로 넘어가겠습니다.)
[본론]
서론이 길었습니다.
이제 본론에 들어가도록 하겠습니다.
앞에서 말한 개념이 필요하기 때문에 특히 '시행횟수'개념이 필요하기 때문에 서론을 좀 길게 썼습니다.
우선 표본집단에서의 분산을 구해보도록 합시다.
모집단에서 표본을 n개 뽑고, 모집단에서 표본을 뽑는시행횟수가 1번일때
표본분산을 V(X)라 하면,

이 성립합니다.
이 식 자체는 틀리지 않았습니다.
표본분산은 이게 맞습니다.
그런데 서론에서 표본평균을 이용하여 모평균을 추정하듯이
이 표본분산을 이용하여 모분산을 추정하려고 하는데, 이 때, 표본평균을 이용하여 모평균을 추정하는 경우와는 다른 점이 있습니다. 표본평균을 이용하여 모평균을 추정하는 '이론적'(위에서 얘기했듯이 현실적으론 이 방법 못 씀)인 방법은, 표본평균의 평균을 구하여 그 극한값을 구하면 되는 것이었습니다. 그런데 이론적으로(수학적으로) 표본분산을 이용하여 모분산을 추정하는 경우에는 표본분산을 약간 바꿔서 사용해야 합니다. 즉, 식이 바뀌게 됩니다. 1/n이 아니라 1/(n-1)로요. 이 부분에 대해서 지금부터 자세하게 설명하겠습니다.
모집단으로부터 n개의 표본을 뽑은 표본들의 분포를 생각해보도록 합시다.(표본을 뽑는 시행 횟수는 1번)
이때 표본평균
을 구했다고 합시다.
을 구했다고 합시다.그리고 표본들의 분산을 구하는데
2가지 방법으로 구해봅시다
일단 분산이라는 개념은
변량과 평균의 차를 제곱한 후 이 값들의 평균이 분산인데,
이때 평균에 대입되는 값은 당연히 표본평균입니다.
하지만 표본평균말고 모평균을 대입해서도 생각해보면 어떨까요? 이 경우는 어떤 의미일까요?
일단 식으로 표현해보겠습니다.

(1)식은 표본분산입니다.
그런데 (2)식이 특이하죠. 표본평균이 들어갈 자리에 모평균이 들어갔습니다.
(2)식이 의미하는게 무엇일까요?
일단 (1)식이 의미하는걸 생각해봅시다.
분산은 당연히, 표본
이 평균과의 편차가 어느정도 되는지 알기 위해 만든 식입니다.
이 평균과의 편차가 어느정도 되는지 알기 위해 만든 식입니다.(1)식에선 표본들이 표본평균과 얼마나 떨어져있고, 그 떨어져있는 정도의 평균을 구하기 위한 것이죠(물론 편차의 합은 0이 되므로 평균을 구할 수 없게 되니, 편차를 제곱시켜서 더하는건 당연하죠)
마찬가지로 (2)식은 표본이 표본평균과 얼마나 떨어져 있는걸 따져보려는게 아니라, 모평균과 얼마나 떨어져 있는지 보려는 겁니다. 표본평균이 모평균과 같다면 떨어져 있는 정도는 같겠죠? 그런데 같지 않다면 어떨까요? 그렇다면 표본들은 표본평균과 떨어져 있는 정도 보다 모평균과 떨어져 있는 정도가 더 큽니다. 즉 (2)식의 값이 (1)식 값보다 크거나 같습니다(등식은 표본평균=모평균일때 성립). 왜 클까요? 예를들어 표본을 크기대로 수직선에 나열했다고 생각해봅시다.
체감하기위해 문자로 표현하지 말고 직접 수치로 예를들어봅시다.
표본의 개수가 5개이고 표본은 각각 5, 6, 7, 8, 9 라고 합시다.
이 때 표본평균은 7 입니다.
만약에 모평균이 0이라고 해봅시다.
그러면 표본(5, 6, 7, 8, 9)들은 7과 0중에서 어디에 더 가까울까요? 당연히 0보단 7에 더 가깝겠죠?
만약에 모평균이 1이라고 해봅시다.
그래도 표본(5, 6, 7, 8, 9)들은 7과 1중에서 7에 더 가까울겁니다. 하지만, 모평균이 0일때보단 1이 되었을때 상대적으로 모평균도 이전보다 더 표본에 가까워지긴 했습니다.
그렇게 모평균을 0→1→2→3→4→5→6→7로 바꿔가며 생각해보면
모평균은 점점 더 표본에 가까워지고 결국 7이 되었을 때 표본평균과 같아지므로 [표본평균과 표본들의 떨어져 있는 정도=모평균과 표본들의 떨어져 있는 정도]가 됩니다. 다시 모평균을 더 올려서 8→9→10→...으로 만들면 반대로 다시 모평균과 표본들과의 떨어져있는 정도는 표본평균과 표본들의 떨어져있는 정도보다 더 심해질 겁니다.
결국 (2)식의 값은 (1)식의 값보다 크거나 같다는걸 직관적으로 알게 됐습니다.
그렇다면 (2)식에서 (1)식을 뺀 값은 무엇일까요?
이제 구체적으로 문자로 풀어봅시다.
풀기 위해선 서론에서 했었던 같은 스킬을 사용합니다
시행횟수 k를 무한히 했을 때 평균의 극한값을 구하는 겁니다.
또한 서론에서 구했었던 식들도 대입하여 풀게 됩니다.(그래서 서론을 했던것)
![모평균=m,\\\\quad 모분산=\\\\combi ^{ 2 }{ s },\\\\quad 표본의\\\\quad 개수:n,\\\\quad 시행횟수:k일\\\\quad 때,\\\\\\\\ 표본평균의\\\\quad 분산을\\\\quad 구해보자.\\\\\\\\ V(\\\\overline { X })=V(\\\\frac { \\\\combi _{ 1 }{ X }+\\\\combi _{ 2 }{ X }+\\\\combi _{ 3 }{ X }+...+\\\\combi _{ n }{ X } }{ n })\\\\\\\\ \\\\quad \\\\quad \\\\quad \\\\quad \\\\quad \\\\quad \\\\quad =\\\\frac { 1 }{ \\\\combi ^{ 2 }{ n } }V(\\\\combi _{ 1 }{ X }+\\\\combi _{ 2 }{ X }+\\\\combi _{ 3 }{ X }+...+\\\\combi _{ n }{ X })\\\\\\\\ \\\\quad \\\\quad \\\\quad \\\\quad \\\\quad \\\\quad \\\\quad =\\\\frac { 1 }{ \\\\combi ^{ 2 }{ n } }\\\\{V(\\\\combi _{ 1 }{ X })+V(\\\\combi _{ 2 }{ X })+V(\\\\combi _{ 3 }{ X })+...+V(\\\\combi _{ n }{ X })\\\\}\\\\\\\\ 표본평균의\\\\quad 평균을\\\\quad 구할\\\\quad 때와\\\\quad 같은\\\\quad 방법으로\\\\\\\\ 시행횟수\\\\quad k를\\\\quad 무한히\\\\quad 하면\\\\\\\\ 표본분산\\\\quad V(\\\\combi _{ i }{ X })의\\\\quad 극한은\\\\quad 모분산\\\\quad \\\\combi ^{ 2 }{ s }에\\\\quad 수렴하므로\\\\\\\\ \\\\lim _{ \\\\combi { k }\\\\to \\\\combi { \\\\infty } }{ V(\\\\overline { X }) }=\\\\lim _{ \\\\combi { k }\\\\to \\\\combi { \\\\infty } }{ \\\\frac { 1 }{ \\\\combi ^{ 2 }{ n } }\\\\{V(\\\\combi _{ 1 }{ X })+V(\\\\combi _{ 2 }{ X })+V(\\\\combi _{ 3 }{ X })+...+V(\\\\combi _{ n }{ X })\\\\} }\\\\\\\\ \\\\quad \\\\quad \\\\quad \\\\quad \\\\quad \\\\quad \\\\quad \\\\quad \\\\quad \\\\quad \\\\quad \\\\quad \\\\quad =\\\\frac { 1 }{ \\\\combi ^{ 2 }{ n } }\\\\times n\\\\combi ^{ 2 }{ s }\\\\\\\\ \\\\quad \\\\quad \\\\quad \\\\quad \\\\quad \\\\quad \\\\quad \\\\quad \\\\quad \\\\quad \\\\quad \\\\quad \\\\quad =\\\\frac { \\\\combi ^{ 2 }{ s } }{ n }\\\\\\\\ 그리고\\\\quad E(\\\\combi ^{ 2 }{ \\\\overline { X } })=V(\\\\overline { X })+\\\\combi ^{ 2 }{ \\\\{E(\\\\overline { X })\\\\} }이므로\\\\\\\\ \\\\lim _{ \\\\combi { k }\\\\to \\\\combi { \\\\infty } }{ E(\\\\combi ^{ 2 }{ \\\\overline { X } }) }=\\\\lim _{ \\\\combi { k }\\\\to \\\\combi { \\\\infty } }{ \\\\[ V(\\\\overline { X })+\\\\combi ^{ 2 }{ \\\\{E(\\\\overline { X })\\\\} }\\\\] }\\\\\\\\ \\\\quad \\\\quad \\\\quad \\\\quad \\\\quad \\\\quad \\\\quad \\\\quad \\\\quad \\\\quad \\\\quad \\\\quad \\\\quad \\\\quad \\\\quad =\\\\frac { \\\\combi ^{ 2 }{ s } }{ n }+\\\\combi ^{ 2 }{ m }\\\\quad \\\\gets 서론에서\\\\quad 구했던\\\\quad \\\\lim _{ \\\\combi { k }\\\\to \\\\combi { \\\\infty } }{ E(\\\\overline { X }) }=m대입](/media?src=http://images.se2.naver.com/smedit/2014/2/1/hr4pa54xe4pzl2.jpg&board=mathematics&pid=140017)
그리고 (2)-(1)에 필요한 또다른 명제도 먼저 계산해 놓고 시작하겠습니다.

이제 (2)식에서 (1)식을 빼는데, 그냥 빼는게 아니라
서론에서했던 것처럼 또 여태 계속 해왔던 것처럼
평균의 극한값을 구하여 뺍니다.

따라서 (2)식의 기대값의 극한값에서 (1)식의 기대값의 극한값을 빼면 그 값이
라는 사실을 알았습니다.
라는 사실을 알았습니다.또한 다음과 같은 사실도 알 수 있습니다.
![(2)번의\\\\quad 기대값의\\\\quad 극한인\\\\\\\\ \\\\lim _{ \\\\combi { k }\\\\to \\\\combi { \\\\infty } }{ E\\\\{\\\\frac { 1 }{ n }\\\\sum _{ i=1 }^{ n }{ \\\\combi ^{ 2 }{ (\\\\combi _{ i }{ X }-m) }\\\\} } }\\\\quad 이\\\\quad 값은\\\\\\\\ 서론에서\\\\quad 공부하여\\\\quad 알\\\\quad 수\\\\quad 있듯이\\\\\\\\ k\\\\to \\\\infty 이면\\\\quad \\\\combi _{ i }{ E(X })=E(X)이\\\\quad 되므로\\\\\\\\ \\\\lim _{ \\\\combi { k }\\\\to \\\\combi { \\\\infty } }{ E\\\\{\\\\frac { 1 }{ n }\\\\sum _{ i=1 }^{ n }{ \\\\combi ^{ 2 }{ (\\\\combi _{ i }{ X }-m) }\\\\} } }는\\\\quad 확률적으로\\\\\\\\ E\\\\{\\\\frac { 1 }{ n }\\\\sum _{ i=1 }^{ n }{ \\\\combi ^{ 2 }{ (X-m) } }\\\\}와\\\\quad 같게\\\\quad 된다.\\\\\\\\ E\\\\{\\\\frac { 1 }{ n }\\\\sum _{ i=1 }^{ n }{ \\\\combi ^{ 2 }{ (X-m) } }\\\\}은\\\\quad 모집단의\\\\quad 분산이므로\\\\quad \\\\combi ^{ 2 }{ s }이다.\\\\\\\\ \\\\\\\\ 따라서\\\\\\\\ \\\\[ (2)식의\\\\quad 평균의\\\\quad 극한값\\\\] -\\\\[ (1)식의\\\\quad 평균의\\\\quad 극한값\\\\] =\\\\frac { \\\\combi ^{ 2 }{ s } }{ n }에서\\\\\\\\ \\\\[ (2)식의\\\\quad 평균의\\\\quad 극한값\\\\] =\\\\combi ^{ 2 }{ s }이므로\\\\\\\\ \\\\[ (1)식의\\\\quad 평균의\\\\quad 극한값\\\\] =\\\\frac { n-1 }{ n }\\\\combi ^{ 2 }{ s }이다.](/media?src=http://images.se2.naver.com/smedit/2014/2/1/hr4s6ydhfeqe9z.jpg&board=mathematics&pid=140017)
드디어 『[표본분산의 평균]의 극한값』이 모분산의 (n-1)/n배에 수렴한다는 사실을 알아냈습니다.
서론에서 『[표본평균의 평균]의 극한값』이 모평균에 수렴한다는 사실과 비슷한 맥락입니다.
따라서 모평균을 추정할 때에는 이론적으로 『[표본평균의 평균]의 극한값』을 구하면 되는 것이고,
모분산을 추정할 때에는 이론적으로 『[표본분산의 평균]의 극한값』의 n/(n-1)배를 구하면 되는 겁니다.
하지만 서론에서도 말했듯이
극한값을 구한다는 것 자체가 시행횟수 k를 무한히 해야한다는 점에서
이런 방법으로 모평균을 추정한다는것은 현실적으로 불가능하다고 말했습니다.
마찬가지로 이런 방법으로 모분산을 추정한다는것은 현실적으로 불가능합니다.
따라서 시행횟수 1번으로 표본평균을 구하여 신뢰구간을 이용하여 모평균을 추정하듯이
시행횟수 1번으로 표본분산을 구한다음 신뢰구간을 이용하여 모분산을 추정합니다
다만 이때 시행횟수 1번으로 구한 표본분산을 그대로 이용하는게 아니라
구한 그 표본분산에 n/(n-1)배를 한 후에 이용합니다.
굳이 통계학용어를 쓰자면 이러한 값들을 불편추정량이라고 합니다.
불편추정량(unbiased estimator)이란 추정량(구한 표본평균, 모분산의 n(n-1)배인 표본분산)의 기대값이 각각 모평균, 포분산과 같아지게 되는 값들을 말합니다. 다르면 편의추정량(biased estimator)이라 하고요.

설명은 여기서 끝입니다.
추가로 자유도에 비유하여 설명하자면.
자유도란, 계(system)를 독립적으로 변화시키는게 가능한 수 입니다.
예를들어 3차원 좌표공간에 있는 질점의 자유도는 3개입니다.
x, y, z좌표로 위치를 독립적으로 변화시키는게 가능하므로.(독립적이란 말은 임의의 좌표를 바꾸는데, 예를들어 x위치를 임의로 바꿔도 y위치와 z위치에 영향을 주지 않는다는 뜻입니다.)
따라서 질점은 각각 3개의 좌표값이 어떠하냐에 따라 변화할 수 있습니다.
또다른 예를 들면, z좌표가 고정된 질점의 자유도는 2개가 됩니다
z좌표가 고정되어 z축상으로는 위치를 변화시키는게 불가능해졌기 때문입니다.
모집단에서 표본 n개를 뽑았다고 합시다.
표본평균은 각각 n개의 표본들의 값이 어떠하냐에 따라 변화할 수 있습니다.(뽑혀진 표본중 임의로 하나의 표본을 뽑히지 않았던 모집단의 원소 하나와 바꾼다 해도, 나머지 표본들의 값에 영향을 미치진 않고(독립사건이므로) 표본평균(계)을 바꾸게 만듭니다.) 즉 독립적으로 계(여기서 계는 표본평균의 값)을 바꿀 수 있는 표본의 수는 n개 이므로 이 때 자유도는 n개입니다.
표본분산 또한 각각 n개의 표본들의 값이 어떠하냐에 따라 변화할 수 있습니다.(뽑혀진 표본중 임의로 하나의 표본을 뽑히지 않았던 모집단의 원소 하나와 바꾸게 되면, 나머지 표본들의 값은 그대로 있고(영향받지않고) 표본분산(계)을 바꾸게 됩니다.)
즉, 즉 독립적으로 계(여기서 계는 표본분산의 값)을 바꿀 수 있는 표본의 수는 n개 이므로 이 때도 자유도는 n개입니다.
그렇다면 이번엔 표본분산을 이용하여 모분산을 추정하는 경우를 생각해보도록 하겠습니다.
『[표본분산의 평균]의 극한값』이 모분산의 (n-1)/n배에 수렴한다는 사실을 위에서 구했었습니다.
여기서, 『[표본분산의 평균]의 극한값』의 경우를 생각해보도록 합시다.
극한이므로, 표본 추출하는 시행횟수 k가 무한한 경우입니다.
즉, 이 때에는 표본 추출할 때 몇개(n)를 뽑았는지는 자유도에 별 상관이 없게 됩니다.
이게 무슨 말이냐면,
시행횟수가 1번일때, 즉 k=1일 때, 모집단으로부터 n개의 표본을 뽑았다고 한 경우에는
그 뽑힌 표본중 아무거나 임의로 모집단에 있는것과 바꾸면 표본의 값이 바뀌게 되고
표본의 값이 하나라도 바뀌게 되면 결국 표본분산의 값도 바뀌게 되므로
이때 바꿀 수 있는 표본의 개수는 총 n개이므로 자유도는 n개입니다.
이번엔 시행횟수를 늘려보도록 하겠습니다.
체감하기위해 구체적으로 숫자를 놓고 보도록 하겠습니다.
모집단의 원소가 1, 3, 5 이렇게 있다고 하고
이 중에서 표본 n=2개를 뽑도록 해봅시다.
시행횟수 1번 했을때 뽑힌 숫자를 순서쌍 (처음에뽑힌수, 두번째에뽑힌수)로 합시다.
그리고 (1, 3)이 뽑혔다고 합시다
그럼 이 때 2개의 표본중 임의로 하나의 표본을 모집단의 원소와 바꾸면
예를들어 1을 5와 바꾸면
표본값이 바뀌게 되어 표본평균과 표본분산도 바뀌게 됩니다(표본평균과 표본분산을 계로 잡았을 경우)
이 때 자유도는 n=2 입니다.
근데 시행횟수를 늘려 600번을 했다고 가정하면
'확률적으로'
(1, 3)이 100번
(3, 1)이 100번
(1, 5)가 100번
(5, 1)이 100번
(3, 5)가 100번
(5, 3)이 100번나오게 됩니다.
이 때 표본평균의 평균을 생각해보고, 표본분산의 평균을 생각해 본다고합시다.(이번엔 표본평균의 평균과 표본분산의 평균이 계 입니다.)
그리고 여기서 표본을 임의로 바꿔보도록 하겠습니다
(1, 3)이 100개인데 100개중에 (1, 3) 한개 선택하고 여기서 (1, 3)중에 표본 1을 5로 바꾼다고 한다면
결국
(1, 3)이 99개
(3, 1)이 100개
(1, 5)가 100개
(5, 1)이 100개
(3, 5)가 100개
(5, 3)이 101개가 되버립니다.
그렇다면 표본평균의 평균과 표본분산의 평균도 약간 바뀌게 되긴 합니다.
하지만 큰 변화는 없습니다.
오히려 표본을 바꿔도 표본평균의 평균과 표본분산의 평균값이 그대로인 경우가 생길 수도 있습니다.
예를들어
(1, 3)이 100개 중 한 개의 (1, 3)을 선택 후 1을 5로 바꾸고
(3, 1)이 100개 중 한 개의 (3, 1)을 선택 후 3을 5로 바꾸고
(1, 5)가 100개 중 한 개의 (1, 5)를 선택 후 1을 3으로 바꾸고
(5, 1)이 100개 중 한 개의 (5, 1)을 선택 후 5를 3으로 바꾸고
(3, 5)가 100개 중 한 개의 (3, 5)를 선택 후 3을 1로 바꾸고
(5, 3)이 100개 중 한 개의 (5, 3)을 선택 후 5를 1로 바꾸면
결국
그대로
(1, 3)이 100개
(3, 1)이 100개
(1, 5)가 100개
(5, 1)이 100개
(3, 5)가 100개
(5, 3)이 100개가 됩니다.
결국 표본을 모집단의 원소와 바꾸게 되어도
표본평균의 평균과 표본분산의 평균은 얼마 차이 안나거나 그대로일 '확률'이 높습니다.
따라서 시행횟수를 무한히 하면, 즉 k→∞이면 확률적으로
『[표본분산의 평균]의 극한값』과 『[표본평균의 평균]의 극한값』은 자유도가 없어졌다고 봐도 됩니다.
즉 표본을 모집단의 원소와 바꾼다 하더라도
『[표본분산의 평균]의 극한값』과 『[표본평균의 평균]의 극한값』은 변하지 않습니다. 즉 계가 변하지 않으므로 n은 이제 자유도가 아닙니다.
결국, 『[표본분산의 평균]의 극한』이 [모분산의 (n-1)/n배]에 수렴한다는 것은
자유도와 별 상관이 없는 의미가 되버립니다.
여기서 (n-1)/n은 계산의 결과로 나온 '비'값일 뿐이지 자유도를 의미하는게 아닙니다.
하지만 위에서도 여러번 언급했듯이
이론적으로 『[표본분산의 평균]의 극한』을 구하여 모분산을 추정한다고 하지만
현실적으로 『[표본분산의 평균]의 극한』을 구한다는게 말이 안되므로(시행횟수를 무한히 할 수 없으므로)
현실적으론 시행횟수1번만하고 [표본분산의 평균]에서 신뢰구간개념을 이용하여 모분산을 추정하게 됩니다.
결국 이 때에는 극한이 아니므로 자유도와 별 상관이 없는게 아닌 것이 됩니다. 다시 자유도와 상관있어졌습니다.
위에서 말했듯이 불편추정량으로써 모분산을 추정할 때 [표본분산의 평균]에 n/(n-1)배를 곱하여 사용한다고 하였습니다.
[표본분산의 평균]의 자유도는 n개인데
[표본분산의 평균]에 n/(n-1)를 곱한 추정량은 결과적으로 자유도가 n-1인 불편추정량을 만들어 내게 됩니다.
이게무슨뜻인지 위에서 얘기했던 수직선을 다시 얘기하겠습니다.
n개의 표본을 조사할때(k=1)
모평균을 이용하여 분산을 조사하는방법과, 표본평균을 이용하여 분산을 조사하는 방법 이렇게 2가지가 있다고 하였습니다.
모평균을 이용하여 분산을 조사하는 경우 이때 자유도는 n개라는걸 자명합니다.
그런데, 표본평균을 이용하여 분산을 조사하는 경우에서도 자유도가 n개일까요?
네. 표본평균을 이용하여 분산을 조사하는 경우도 당연히 자유도가 n개죠
그런데 표본평균을 이용하여 조사한 분산, 이 분산을 이용하여 모분산을 추정하려고할때의 자유도는 n-1개여야 한다는 겁니다. 왜냐하면,
위에서도 얘기했듯이 모평균을 이용하여 조사한 분산은 표본평균을 이용하여 조사한 분산보다 크거나 같습니다.(등식은 표본평균이 모평균과 같을때 성립.)
자유도는 계를 바꿀 수 있는 변수들의 수 입니다.
그런데 모평균을 이용하여 조사한 편차제곱합은 표본평균을 이용하여 조사한 편차제곱합보다 크거나 같기 때문에
표본평균을 이용하여 조사한 편차제곱합을 이용하여 모평균을 이용한 분산과 같아지게 하려 한다면)
표본평균을 이용하여 조사한 편차제곱합으로 분산을 구할 때
표본평균을 이용하여 조사한 편차제곱합을 나누는 값이
모평균을 이용하여 조사한 편차제곱합을 나누는 값보다 같거나 작아야만 합니다.(등식은 표본평균이 모평균과 같을때 성립.)
근데 얼마나 작아야 하냐면, 위에서 계산으로 구했듯이 표본평균과 모평균이 같지 않을 때에 모평균을 n으로 나눈다면 표본평균을 n-1로 나눠야 한다는 겁니다. 이 의미는 서로 값이 반드시 같아진다는건아니고, 모평균추정하기에 더 적합하다는 뜻입니다.
즉, 표본평균을 이용하여 분산을 구하는 경우에, 계를 바꿀 수 있는 변수들의 수를 적게 만들면(n에서 n-1로 만들면), 모분산 추정하기에 더 적합하다는 뜻입니다.
표본평균=모평균인경우엔 깊게생각해볼필요도없이 그냥 n으로 나누면 됩니다.
그런데 시행횟수 k가 무한대로 갈 때
표본평균의 극한값이 모평균에 수렴한다는것이지
시행횟수 k=1일때 표본평균이 모평균과 같을 확률은 무지무지 낮으므로
표본평균=모평균인경우는 생각하지 않습니다.
이거 다 읽은 사람이 있긴할까
자유도에서 손뗌
머가 이리김.. (n-1)S^2/sigma^2 가 chi-square(n-1) 인걸로 설명끝임.
허씨발이거존나알고싶었다 문둥이긴한데 수학진짜 존나좋아하고 이해하기전에 못넘어가는 성격이라 n-1로 나눌때 진짜 통계를쭉공부해서 알아낼수도없고 존나궁금했었는데 갓수학갤성니뮤ㅠㅠ
존나 더러운 고삼생활에 활력이 되는 글이었다 존나 감사하다 수학갤 짱짱
자유도 설명 잘못됐네
와 그러면 자유도로 나눠야 된다는 설명 보다는 자유도를 줄여주면 모평균을 추정하기 좀 더 적합하다 정도로 생각하는게 좋겠네요?? 허어... 통찰 감사합니다.