리만가설
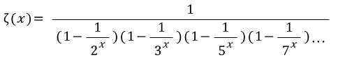
이건 제타함수라고 부름
리만 가설은 이 함수로부터 시작함
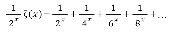
이걸 풀어써보겠음
.
위에서 아래를 빼자
오른쪽에 2의 배수들이 다 사라졌음!
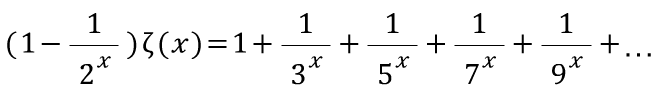
위에서 아래를 빼자
오른쪽 변에 3의 배수들이 다 없어졌음!
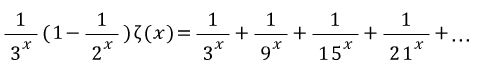
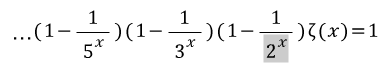
이런식의 반복을 계속 하면...
우변은 1이 되버리고
좌변이 전부 소수들만 나타나 짐 ㄷㄷ
이제
제타함수를 구할수있음!!
따라서
좀 쌈빡한 표현방법
이제 리만은 여기서 그래프가 궁금했음 ㅇㅇ
이제 이 함수의 그래프를 한번 보고싶은것임!!
근데 생각보다 너무 시시했음
리만은 그래서 x의 범위를 복소수로 확장해보았음
근데 복수함수란?
밑에 그림과 같이
복소수는 x+yi . 이렇게 정의역이 (x,y) 두개라서 정의역이 평면이다.
물론 공역도 평면. 그래서 평면에서 평면으로 가는 4차원 함수가 바로 복소함수!
이렇게 정의역을 복소수로 확장한 다음 근이 0이 되는점들은 빨간색으로 찍어봤음
즉
이를테면 이런애들
저렇게 0이 되는 새끼들을 찾았는데 놀라운 현상이 발생!!
구한 빨간 점들의 실수부가 모조리 1/2 위치에만 찍히는 거임!!!!
여태까지 소수에 관한 특별한 규칙들이 없었는데 이런 규칙을 리만이 발견!
이것이 리만가설
제타함수의 자명하지 않은 모든 근들은
실수부가 1/2 인것 같다.
왜저러는지 증명하면 상금 10억줌
이상임
이글은 초보용으로 쓴것입니다.
님들이 보면 시시할수도 있겠습니다.
너무 뭐라하지 마시기 바랍니다.
이상입니다.
이것이 리만가설입니다.
이것은 저가 예전에 수학갤에 흥미를 돋구기 위하여 올린것인데
재업합니다
이상임
















추천합니당
아 그러면ㅍ제가 리만가설 푼것같네요
마지막 그래프에 허수축 숫자 넣어주세요
존나신기하네 개추박고갑니다
베컴// 감사합이다
해수는과학// 인증부탁드립니다
ㅇㅇ//감사합니다
허수축 숫자 좀 써주세요
싫다면?
아 진짜 급합니다; 안알려주시면 화납니다
안된다면?
으아아아악
제자를 관둬버릴지도 모름
오호... 아벨이 잘 썼음... 보기 쉽네... 굿
본거또보고본거또보고본거또보고본거또보고 - dc App
물갤가서놀아 미친놈들아